ACTIVE DIET
The MyQuest native iOS application builds the prefect diet with minimal user input via a proprietary algorithm. The app has prebuilt diets but the majority of diets are user generated via fine tuning of the system diets and gamified by social status. I acted as UX architect and UI designer for the project.
Client: Quest Nutrition. LLC.
Year: 2014
Categories: User Personas, Mental Modeling, Information Design, Wireframes
THE USER PERSONAS
After extensive research, User personas were created to represent the different user types that would potentially use our application.

THE MENTAL MODEL
Below is 1 of 5 formal interviews I conducted to capture user motivations and needs. Those needs were grouped into logical pillars and mapped out by features to identify opportunities, feature gaps, and bloat.

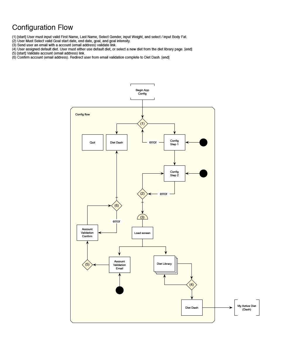
THE INFORMATION DESIGN
Below are examples of the user flows created to define tasks in the system. I used Garret’s Visual Vocabulary as well as click through prototypes to show all steps needed to complete each task.




THE WIREFRAMES
Screen schematics must be created to represent the skeletal framework of the application’s User Interface. Below are my Balsamiq Mockups.







To simplify complications is the first essential of success.